• 谘詢熱線:400-888-5135

CIE1976Lab均勻顏色空間及色差公式形式

時間:2025-08-21 點擊:75次

CIE1976Lab均勻顏色空間又簡稱CIELab顏色空間,是CIE於(yu) 1976年提出的均勻顏色空間之一。該均勻顏色空間克服了非均勻顏色空間的局限性,在表示顏色之間的差異時與(yu) 人眼之間的一致性較好。本文對CIE1976Lab均勻顏色空間及色差公式做了介紹。

CIELab顏色空間二維模型

CIE1976Lab均勻顏色空間:

CIE1976L*a*b*均勻顏色空間是一種柱麵極坐標,它通過對CIE1931係統的XYZ直角坐標進行非線性變換而來,如下圖所示。其中L*表示主觀亮度,a*和b*表示色度。其中L*越大,顏色越亮;a*軸的正方向表示紅色的變化,a*軸的負方向表示綠色的變化;b*軸的正方向表示黃色的變化,b*軸的負方向表示藍色的變化。這也是對立色空間模型的來源。

色差儀(yi) CIELAB均勻顏色空間

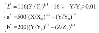
CIE1976L*a*b*的計算表達式如下:

Lab與(yu) XYZ非線性轉換式01

其中,X,Y,Z分別為(wei) CIE 1931標準色度學係統的三刺激值,X0,Y0,Z0為(wei) 觀察樣品時使用的照明光源所對應的標準照明體(ti) 三刺激值。一般情況下,定義(yi) 亮度最大,即Y0=100。

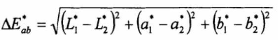
CIE1976Lab均勻顏色空間色差公式:

均勻顏色空間能夠反映主觀視覺感受,因此坐標係中任意兩(liang) 點的距離表示人眼感受到的色差,即:

Lab均勻顏色空間色差公式

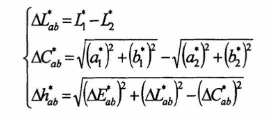
其中,L1*、a1*、b1*和L2*、a2*、b2*分別表示坐標係中任意兩(liang) 點的坐標參數。另外該色差公式也定義(yi) 了與(yu) 主觀視覺感受直接對應的亮度差△L*ab飽和度差△C*ab和色調差△h*ab。

亮度差、飽和度差和色調差表達式

QQ谘詢

在線谘詢真誠為(wei) 您提供專(zhuan) 業(ye) 解答服務

谘詢熱線

400-888-5135
7*24小時服務熱線

返回頂部