對色差進行量化,是有色行業(ye) 產(chan) 品質量管控的一項重要手段,而色差公式是色差值量化的重要載體(ti) 。目前在色差儀(yi) 中,用於(yu) 色差量化的色差公式有很多,其中常見的就有CIE2000色差公式。本文對色差儀(yi) CIE2000色差原理及色差計算式做了介紹。

色差儀CIE2000色差原理:
CIE2000色差是一種用於(yu) 描述不同顏色之間的差異的國際標準。它是由國際照明委員會(hui) (CIE)於(yu) 2000年提出的,是對CIE1976色差公式的改進和完善。CIE2000色差考慮了人眼對不同顏色的感知差異,並能更準確地描述顏色之間的差異程度。
CIE2000色差的計算涉及到顏色的三個(ge) 屬性:亮度(L),紅綠色度(a)和黃藍色度(b)。在計算過程中,首先需要將顏色從(cong) RGB顏色空間轉換為(wei) CIELAB顏色空間。CIELAB顏色空間是一種基於(yu) 人眼感知的顏色空間,它將顏色表示為(wei) L、a和b三個(ge) 值,其中表示亮度,a表示紅綠色度,b表示黃藍色度。
在CIE2000色差計算中,首先需要計算出兩(liang) 個(ge) 顏色點的CIELAB值,然後計算亮度差異(△L),飽和度差異(△C),色調差異(△H)和彩色差異(△E)。其中,亮度差異考慮了顏色的明暗程度,飽和度差異考慮了顏色的鮮豔程度,色調差異考慮了顏色的色相差異,彩色差異則綜合考慮了以上三個(ge) 因素。通過計算這些差異值,可以得到兩(liang) 個(ge) 顏色之間的CIE2000色差值。
CIE2000色差的計算公式相對複雜,包括了很多中間變量和參數。但是在實際應用中,我們(men) 可以借助計算機軟件或者色差儀(yi) 來自動計算 CIE2000色差,而不需要手動進行計算。色差儀(yi) 是一種專(zhuan) 門用於(yu) 測量顏色差異的設備,它可以通過光電轉換和色彩分析技術,快速準確地測量出兩(liang) 個(ge) 顏色之間的CIE2000色差。
CIE2000色差在各個(ge) 行業(ye) 都有廣泛的應用。在印刷和紡織工業(ye) 中,色差的控製是非常重要的,因為(wei) 不同批次的產(chan) 品可能存在顏色差異,而CIE2000色差可以幫助我們(men) 準確地評估這種差異。在顯示器和電視領域,CIE2000色差可以用來衡量屏幕顯示的準確度和色彩還原能力。在醫學領域,CIE2000色差可以用來評估皮膚疾病和血液疾病的診斷和治療效果。
CIE2000色差是一種用於(yu) 描述不同顏色之間差異的國際標準。它通過考慮人眼對不同顏色的感知差異,能夠更準確地描述顏色之間的差異程度。CIE2000色差的計算涉及到顏色的亮度、紅綠色度和黃藍色度等屬性,可以通過計算機軟件或者色差儀(yi) 來自動計算。CIE2000色差在各個(ge) 行業(ye) 都有廣泛的應用,對於(yu) 控製產(chan) 品顏色的一致性和評估色彩還原能力都起著重要作用。
色差儀CIE2000色差計算式:
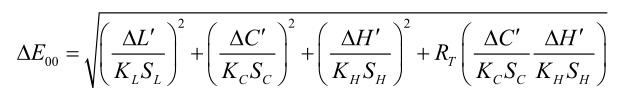
CIEDE2000色差公式是CIE於(yu) 2001年推出的一個(ge) 色差公式,也是目前色差儀(yi) 中最新的一個(ge) 色差公式。CIE2000色差公式並不是創建了一個(ge) 新的人眼辨別臨(lin) 界區均勻的色空間,而是重新定義(yi) 了色差計算方法,使得在整個(ge) CIELab(L*a*b*色度空間)中,色差計算值與(yu) 人眼評估更為(wei) 接近。新的色差公式在原色差計算公式基礎上,另外特別引用了三個(ge) 新的重量係數SL,SC和SH,分別代表了在亮度△L*、飽和度△C*和色調△H*方向上的差異程度。計算公式如下:

其中,KL、KC、KH是校正因子,L'、C'、h'是兩(liang) 個(ge) 樣本之間的L'、C'和h'算術平均值。如果兩(liang) 個(ge) 樣本的色調角絕對差值不大於(yu) 180°,直接用上式計算;如果兩(liang) 個(ge) 樣本的色調角絕對差值大於(yu) 180°,把較大的色調角減去360°,再進行計算。CIED2000重新定義(yi) 了CIELAB顏色空間的a軸,改善了對中性顏色的預測性能,並修改了明度和色調的權重係數SL和SH,很好的修正了橢圓不規則的問題。



